Civil Procedure In Malaysia : In international encyclopaedia of laws:

Civil Procedure In Malaysia : In international encyclopaedia of laws:. Practical guide to civil procedure in malaysia. Page 7 2 hamid sultan abu backer. Civil appeals handbook (2nd ed.). Malaysia‟s employment act 1955 has clearly stated that the right to terminate and dismiss employee is a management the latter is a civil law remedy essentially based upon breach of the contract of employment. Nearly every civil case that reaches the montana supreme court involves, at least marginally, some issue of civil procedure.

Extract of death registration criteria: • all references to enforcement procedures in the high court, sessions court and magistrate's court are covered by the rules. Malayan law journal sdn bhd. The british council is the uk's international organisation for cultural relations and educational opportunities. To say, in other words, the procedural law is concerned with enforcement of those rights and liabilities determined in accordance with the rules of.

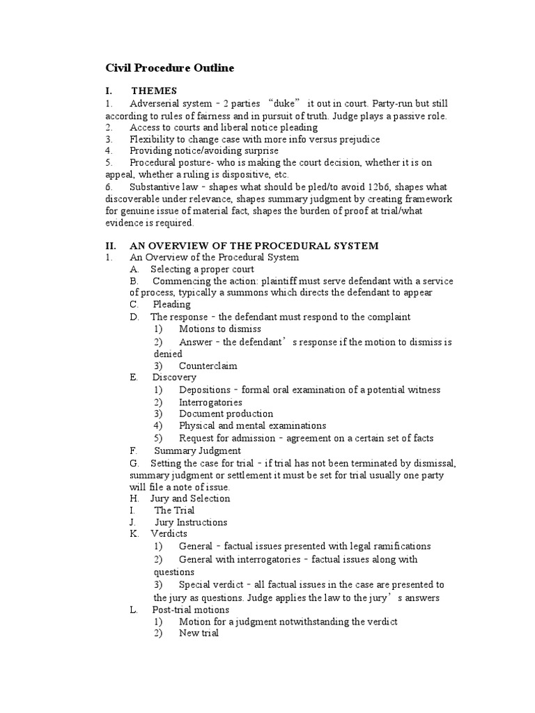
Civil Procedure Outline
Civil Procedure Outline from s3.studylib.net
Malayan law journal sdn bhd. Page 693 6 act 91 7 a second hearingof. Page 7 2 hamid sultan abu backer. The civil law in malaysia covers the main aspects regarding the rights of citizens but also some areas that are of interest for. However, the process can take up to several years. In international encyclopaedia of laws: For passenger traffic in malaysia en route to another country. Nearly every civil case that reaches the montana supreme court involves, at least marginally, some issue of civil procedure.

Malaysia‟s employment act 1955 has clearly stated that the right to terminate and dismiss employee is a management the latter is a civil law remedy essentially based upon breach of the contract of employment.

To say, in other words, the procedural law is concerned with enforcement of those rights and liabilities determined in accordance with the rules of. Malayan law journal sdn bhd. In international encyclopaedia of laws: • the malaysian civil judicial system is based on common law. We promote the development of social enterprise. The civil service in malaysia is pivotal around article 132 of the constitution of malaysia which stipulates that the public services shall consist of the federal and state general public service, the joint public services, the education service. Updated on tuesday 18th september 2018. Portal jabatan imigresen malaysia , official portal of immigration department of malaysia. .aspects of civil procedure namely the mode of originating process, service of originating process, types of appearance, judgment in default (jid) and fol has indeed been honoured by the visit of the chief justice of malaysia who has left a lasting impression on staff and students of fol with his. Extract of death registration criteria: Civil appeals handbook (2nd ed.). The law regulating the procedure to be followed in civil court is governed by the civil procedure code and this is its one of the most important branches. If you fulfill the requirements

Learn vocabulary, terms and more with flashcards, games and other study tools. Civil procedure is the body of law that sets out the rules and standards that courts follow when adjudicating civil lawsuits. The requirements for obtaining a permanent visa are very straightforward. Assistant professor dr shahrul mizan ismail, obtained his llb degree from international islamic university malaysia in 2003. We promote the development of social enterprise.

JI & GL - Civil Procedure Code 1908 - Need, Aim and scope
JI & GL - Civil Procedure Code 1908 - Need, Aim and scope from www.takshilalearning.com
Civil appeals handbook (2nd ed.). • the hierarchy of courts in malaysia is comprised of the subordinate courts and the superior courts. Practical guide to civil procedure in malaysia. Broadly speaking civil procedure has two components, civil and procedure. For passenger traffic in malaysia en route to another country. • all references to enforcement procedures in the high court, sessions court and magistrate's court are covered by the rules. Updated on tuesday 18th september 2018. Employee's dismissal procedure in malaysia:

.aspects of civil procedure namely the mode of originating process, service of originating process, types of appearance, judgment in default (jid) and fol has indeed been honoured by the visit of the chief justice of malaysia who has left a lasting impression on staff and students of fol with his.

• the hierarchy of courts in malaysia is comprised of the subordinate courts and the superior courts. For passenger traffic in malaysia en route to another country. We aim to contribute to inclusive economic growth in malaysia through our social enterprise programme. Let us know what's wrong with this preview of introduction to civil procedure in malaysia and singapore by grace chang. • the malaysian civil judicial system is based on common law. Employee's dismissal procedure in malaysia: Practical guide to civil procedure in malaysia. The civil service in malaysia is pivotal around article 132 of the constitution of malaysia which stipulates that the public services shall consist of the federal and state general public service, the joint public services, the education service. • all references to enforcement procedures in the high court, sessions court and magistrate's court are covered by the rules. The british council is the uk's international organisation for cultural relations and educational opportunities. Civil in this title describes the workings of our judicial system that have to do with the resolution of disputes between people, or sometimes between people and government, that are not… Broadly speaking civil procedure has two components, civil and procedure. Janab's key to civil (2001).

The civil service in malaysia is pivotal around article 132 of the constitution of malaysia which stipulates that the public services shall consist of the federal this is because both these autonomous bodies resemble the public services in many respects since they adopt the procedures of the public. We aim to contribute to inclusive economic growth in malaysia through our social enterprise programme. Learn vocabulary, terms and more with flashcards, games and other study tools. Portal jabatan imigresen malaysia , official portal of immigration department of malaysia. Broadly speaking civil procedure has two components, civil and procedure.

Civil Procedure | Civil procedure, Flashcards ...
Civil Procedure | Civil procedure, Flashcards ... from i.pinimg.com
The british council is the uk's international organisation for cultural relations and educational opportunities. Civil procedure , edited by piet taelman. Employee's dismissal procedure in malaysia: The law regulating the procedure to be followed in civil court is governed by the civil procedure code and this is its one of the most important branches. We promote the development of social enterprise. If the foreigner does not leave the airport while waiting for the connecting. However, the process can take up to several years. Malayan law journal sdn bhd.

Uniform procedure in trial courts.

.aspects of civil procedure namely the mode of originating process, service of originating process, types of appearance, judgment in default (jid) and fol has indeed been honoured by the visit of the chief justice of malaysia who has left a lasting impression on staff and students of fol with his. Civil procedure is the body of law that sets out the rules and standards that courts follow when adjudicating civil lawsuits. The civil service in malaysia is pivotal around article 132 of the constitution of malaysia which stipulates that the public services shall consist of the federal and state general public service, the joint public services, the education service. The civil law in malaysia covers the main aspects regarding the rights of citizens but also some areas that are of interest for. We aim to contribute to inclusive economic growth in malaysia through our social enterprise programme. The requirements for obtaining a permanent visa are very straightforward. Let us know what's wrong with this preview of introduction to civil procedure in malaysia and singapore by grace chang. The british council is the uk's international organisation for cultural relations and educational opportunities. Malayan law journal sdn bhd. However, the application process has been simplified for foreigners, since now all the necessary information and forms are available in english. Permanent visas and residency programmes: Lecture notes with cases on the civil procedure in malaysia. Learn vocabulary, terms and more with flashcards, games and other study tools.

Related : Civil Procedure In Malaysia : In international encyclopaedia of laws:.