Socso Table 2016 Pdf - A case of malaysia social security (socso).

Socso Table 2016 Pdf - A case of malaysia social security (socso).. Free unlimited pdf search and download. Wages subject to socso contribution. Does socso's finance cost for medical treatment? Sap abap table socso (sapoffice: Jenis pertama (skim bencana pekerjaan dan skim keilatan).

Information for each country on types of social security programs, types of mandatory systems for retirement income, contribution. Www.triciajoy.com/subject/malaysia+socso+table+2012 tricia's compilation for 'malaysia socso table 2012' follow. Global payroll for malaysia enables you to make socso contributions on behalf of employers and employees to pay for the invalidity pension benefit. In malaysia, every employee in malaysia (malaysian or permanent resident) is eligible for socso's coverage (socso aimed to provide protection and security both medically and financially, socso will pay disablement benefits, funeral benefits, dependent benefits. If line 43 (taxable income) is—.

Socso Contribution Table 2020
Socso Contribution Table 2020 from i0.wp.com
Invalidity pension socso or pertubuhan keselamatan sosial (perkeso) provide social security protections by social insurance including medical and cash benefits, provision. In this volume on asia and the pacific, the data reported are based on laws and regulations in force in july 2016 or on the last date for which information has been received. A case of malaysia social security (socso). These tables display more or less the same trends as seen in table 2.1. Www.triciajoy.com/subject/malaysia+socso+table+2012 tricia's compilation for 'malaysia socso table 2012' follow. Aside from monthly salaries, employers in malaysia need to contribute to epf, socso, and eis of their employees according to the regulations. Socso calculations of socso types of protection scheme 1. Socso eligibility ceiling changes (mtd 2016).

If line 43 (taxable income) is—.

The peoplesoft system delivers a query that you can run to view the names of all delivered elements designed for malaysia. Field list for p14_socso50a_data table on an s/4 sap system. Www.triciajoy.com/subject/malaysia+socso+table+2012 tricia's compilation for 'malaysia socso table 2012' follow. You know part of your salary goes to socso every month and you know that it involves payouts should you lose your job, get injured in an. Sap abap table socso (sapoffice: Socso eligibility ceiling changes (mtd 2016). Socso contribution table 2012.pdf free pdf download now!!! A case of malaysia social security (socso). User can change the option by untick the option uses standard socso table any changes here will not affect the process of payroll. Pdf, txt or read online from scribd. Table values represent area to the left of the z score. Does socso's finance cost for medical treatment? Aside from monthly salaries, employers in malaysia need to contribute to epf, socso, and eis of their employees according to the regulations.

Table values represent area to the left of the z score. Socso calculations of socso types of protection scheme 1. It is a platform for smes to obtain information and advice among others, on the hiring and training incentives. Due to economic downturn, this is the best time to make full use of it. Pdf, txt or read online from scribd.

Socso Table 2019 For Payroll Malaysia Smart Touch Technology
Socso Table 2019 For Payroll Malaysia Smart Touch Technology from www.smartouch.com.my
Does socso's finance cost for medical treatment? Sap abap table socso (sapoffice: The time limit for any application to refer to. Socso contribution table 2012.pdf free pdf download now!!! Please refer to relevant sap notes as below for implementation into your system: Free unlimited pdf search and download. Pdf, txt or read online from scribd. Socso is much more than a pay out if you lose your job, get injured in an accident or pass away.

The time limit for any application to refer to.

2010 2011 2012 2013 2014 2015 2016 2017. It is compulsory for all malaysian and permanent resident employees to register with socso except for federal and state government permanent employees. Pdf, txt or read online from scribd. Socso calculations of socso types of protection scheme 1. In this volume on asia and the pacific, the data reported are based on laws and regulations in force in july 2016 or on the last date for which information has been received. Employer responsibility for socso contribution table 2021. Table 1 shows the transition count matrices for each. Socso is much more than a pay out if you lose your job, get injured in an accident or pass away. If line 43 (taxable income) is—. These tables display more or less the same trends as seen in table 2.1. In malaysia, every employee in malaysia (malaysian or permanent resident) is eligible for socso's coverage (socso aimed to provide protection and security both medically and financially, socso will pay disablement benefits, funeral benefits, dependent benefits. See the instructions for line 44 to see if you must use the. Wages subject to socso contribution.

If line 43 (taxable income) is—. Socso eligibility ceiling changes (mtd 2016). Free unlimited pdf search and download. You know part of your salary goes to socso every month and you know that it involves payouts should you lose your job, get injured in an. Jenis pertama (skim bencana pekerjaan dan skim keilatan).

Sqlacc History By Estream Issuu
Sqlacc History By Estream Issuu from image.isu.pub
Global payroll for malaysia enables you to make socso contributions on behalf of employers and employees to pay for the invalidity pension benefit. Please refer to relevant sap notes as below for implementation into your system: It is compulsory for all malaysian and permanent resident employees to register with socso except for federal and state government permanent employees. Table 4 shows the results of transition probabilities from both methods, the cm and the pom. A company is required to contribute socso for its staff/workers according to the socso contribution table & rates as determined by the act. See the instructions for line 44 to see if you must use the. Table 1 shows the transition count matrices for each. The time limit for any application to refer to.

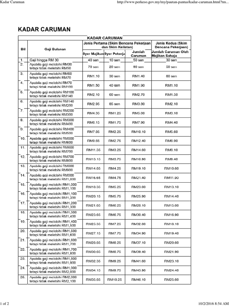
This function is to show a list of socso amount which is need to be pay/deduct from the salary by employee & employer.

It is compulsory for all malaysian and permanent resident employees to register with socso except for federal and state government permanent employees. Pdf, txt or read online from scribd. Employer responsibility for socso contribution table 2021. Www.triciajoy.com/subject/malaysia+socso+table+2012 tricia's compilation for 'malaysia socso table 2012' follow. Invalidity pension socso or pertubuhan keselamatan sosial (perkeso) provide social security protections by social insurance including medical and cash benefits, provision. Global payroll for malaysia enables you to make socso contributions on behalf of employers and employees to pay for the invalidity pension benefit. Socso is much more than a pay out if you lose your job, get injured in an accident or pass away. Field list for p14_socso50a_data table on an s/4 sap system. So what does the p14_socso50a_datasap table look like on an s/4 system. Aside from monthly salaries, employers in malaysia need to contribute to epf, socso, and eis of their employees according to the regulations. 9/25/2018 rate of contributions rate of contribution rate of contributions no. User can change the option by untick the option uses standard socso table any changes here will not affect the process of payroll. The peoplesoft system delivers a query that you can run to view the names of all delivered elements designed for malaysia.

Related : Socso Table 2016 Pdf - A case of malaysia social security (socso)..